Tel:400-969-9938

血液生物标志物如何革新阿尔茨海默病诊疗?

阿尔茨海默病(AD)的早期诊断与精准分期,始终是医学界面临的重大挑战。近年来,血浆磷酸化tau蛋白(p-tau217)凭借其卓越的诊断性能,成功被纳入AD诊疗指南。2025年4月《AD/PD™ 2025: Advances in Science & Therapy》的会议报道指出血浆标志物有望实现AD的病理分期,推动精准医疗。而最新的两项研究为其临床价值提供了坚实依据,也揭示了这一生物标志物在AD诊疗领域的突破性意义!



一、诊断性能:

精准识别AD,鉴别其他痴呆


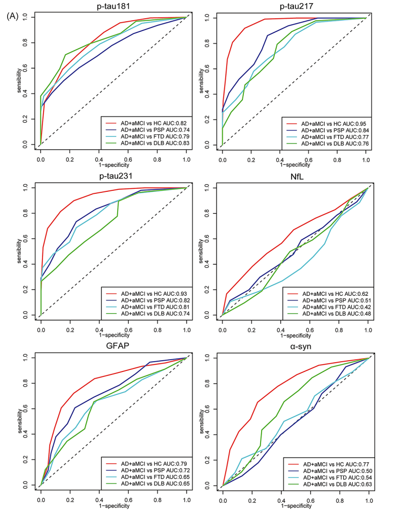
中南大学湘雅团队在《Alzheimer's Research & Therapy》发表的研究中[1],首次采用新型单分子免疫检测技术(ASTRA系统),对668名中国汉族人群(涵盖AD患者、轻度认知障碍(aMCI)患者、额颞叶痴呆(FTD)患者、路易体痴呆(DLB)患者、进行性核上性麻痹(PSP)患者及健康对照人群)同步检测了6种血浆标志物:p-tau181、p-tau217、p-tau231、NfL、GFAP和α-突触核蛋白。结果显示,p-tau217的诊断效力显著优于其他标志物(图1)。


1、识别AD患者:

AD&aMCI vs HC:p-tau217的曲线下面积(AUC)达0.95,最佳Cut off值为4.2 pg/mL,展现出极高的诊断准确性*。


2、鉴别AD与其他痴呆:

AD vs PSP:AUC 0.84(p-tau217最优),临界值为4.5 pg/mL;

AD vs FTD:AUC 0.81(p-tau231最优),临界值为10.6 pg/mL;

AD vs DLB:AUC 0.83(p-tau181最优),临界值为8.7 pg/mL。

图1 使用AUC评估单个血浆生物标志物对aMCI/AD的诊断性能。


*注:具体数据可能会由于收取样本不同而产生差异,如2024年《Alzheimer's Research&Therapy》的一项研究中提到p-tau217指标在区分健康人群与aMCI时,AUC为0.832,Cut off值为3.24pg/mL;在区分健康人群与AD时AUC为0.862,Cut off值为3.09pg/mL,故该数值仅供临床参考[2]。



2025年《阿尔茨海默病与痴呆症:阿尔茨海默病协会杂志》明确指出,血浆生物标志物如p-tau217在专业护理环境中可作为关键诊断工具,要求敏感性≥90%和特异性≥75%时用于分流测试(如阴性结果可高效排除AD病理),研究中的AUC 0.95已远超此标准,敏感性≥90%和特异性≥90%时可替代淀粉样PET或CSF作为确认测试。但指南也警示:诊断准确性存在显著变异性,许多市售测试(尤其使用单一切割点时)未达此阈值,因此需结合专业评估以避免误诊[3]。




二、p-tau217与AD病理高度关联


p-tau217不仅是一种诊断工具,更能反映AD的核心病理变化:

1、与脑脊液(CSF)淀粉样蛋白病理相关:血浆p-tau217水平与CSF中Aβ42/40比值呈显著负相关(r=-0.195, p=0.005),提示其可间接反映脑内淀粉样蛋白沉积情况(图2左)。

2、与脑结构损伤关联紧密:研究发现,p-tau217水平与颞叶灰质萎缩显著相关,进一步验证了其与AD神经退行性改变的密切联系(图2右)。



图2 p-tau217与CSFAβ42/40之间的关系(左);p-tau217与灰质萎缩之间的关联(右)。



三、不止诊断,更能为AD“分期”


2025年《Acta Neuropathologica》期刊提出的生物标志物分期系统,为AD的动态进展评估提供了新范式[4]。该系统通过分析219例CSF样本和150例血浆样本,首次建立了AD病理进展模型,明确p-tau217、p-tau205和NTA-tau分别作为早期、中期和晚期AD病理学的生物标志物,并据此将疾病划分为4个阶段(图3):


0期:p-tau217、p-tau205和NTA-tau均正常,无明显病理改变;

1期:仅p-tau217异常,提示早期tau病理启动;

2期:p-tau217与p-tau205均异常,tau聚集范围扩大;

3期:p-tau217、p-tau205和NTA-tau均异常,神经纤维缠结广泛形成,病情进入晚期。


图3 TRIAD研究队列中,通过局部加权回归方法对(A)内侧颞叶和(B)新皮质的tau-PET SUVR进行了CSF tau生物标志物轨迹分析。使用tau-PET SUVR作为阿尔茨海默病病理进展的指标,将CSF生物标志物水平的变化表示为Z分数。异常生物标志物水平被定义为均值之上两个标准差(SD)。


1、生物标志物与tau-PET影像的同步性:

无论CSF还是血浆分期,生物标志物均与tau-PET所示的内侧颞叶及新皮质tau沉积高度吻合。其中,CSF分期在反映中期病理时更敏感,进一步印证了其临床价值(图4)。

图4 基于(A)CSF分期和(B)血浆分期的全脑平均tau-PET摄取情况。


2、分期结果对比:

(1)血浆分期结果:Aβ阴性人群中,80.5%处于0期;AD患者中,71.4%处于3期。其与tau-PET的关联趋势与CSF一致,但2-3期在Braak高级阶段中的占比低于CSF,不一致率为13.3%(图5)。

图5 非配对CSF和血浆样本中基于生物流体的临床相关分层分期。堆积条形图表示流体分期为0期、1期、2期和3期参与者的百分比。蓝色部分为CSF分期,按(A)诊断分组、(B)AT分组、(C)tau-PET定义的Braak分期和(D)tau-PET状态划分。粉色部分为血浆分期,按(E)诊断分组、(F)AT分组、(G)tau-PET定义的Braak分期和(H)tau-PET状态划分。不符合生物流体分期标准的病例以灰色显示。表格显示了每组个体的百分比和总数。


(2)CSF与血浆分期一致性:在76例配对样本中,CSF分期平均比血浆提前1-3个阶段(图6),证实CSF能更早捕捉AD病理信号,而血浆检测因微创性更适合大规模筛查。

图6 在匹配数据集的情况下,基于CSF和血浆的阶段之间的一致性,以绿色调表示CSF和血浆阶段之间的一致性。镶嵌图显示:(A)灰色调的比例表示在每个基于生物流体的阶段对个体进行分类时,这些基于生物流体的阶段之间的不一致性。堆积条形图(B)显示了血浆相对于CSF分类处于更“晚期”的个体比例,其中不同灰度表示CSF不同分类水平的个体比例。



四、AD早筛、早诊、早治的意义:


正如首都医科大学宣武医院神经内科韩璎教授所呼吁的:“正确识别主观认知下降阶段的症状,就有可能阻断AD病程,将AD从不治之症,转变为像糖尿病一样可防可控的慢性病,终身维持在临床前期不进展,保留患者的生活质量和尊严,优雅老去”。


AD 的早筛之后,需要尽快早诊早治!具体干预措施,可以学习在今年7月,由韩璎教授领衔,国内多学科专家共同执笔制定的中国首个《临床前期阿尔茨海默病诊断与非药物干预专家共识》。在临床症状出现前存在长达15年的黄金干预期里,患者可通过饮食优化、规律运动、认知激活、睡眠修复及神经调控的协同干预,从代谢、血流、突触可塑性等多个维度延缓大脑衰退进程。这一干预方案不仅适用于AD的早期干预,也可用于日常脑健康的维护。



五、免费筛查福利:早筛早智,与爱同行!


每年8月8日是“海默医学公益日”。为助力AD的早筛、早诊、早治,海默医学每年都会举办系列公益活动。今年的公益活动将于8月7日-10日(以物流收样时间为准)开展,期间将提供100个AD早筛免费检测名额。活动具体详情请关注“海默医学”微信公众号近期发布的通知。


参考文献(滑动查看):

[1] Jiao B, Ouyang Z, Liu Y, et al. Evaluating the diagnostic performance of six plasma biomarkers for Alzheimer's disease and other neurodegenerative dementias in a large Chinese cohort[J]. Alzheimers Res Ther,2025,17(1):71.http://dx.doi.org/10.1186/s13195-025-01712-y

[2] Wang X, Zhang X, Liu J, et al. Synaptic vesicle glycoprotein 2 A in serum is an ideal biomarker for early diagnosis of Alzheimer's disease[J]. Alzheimers Res Ther,2024,16(1):82.http://dx.doi.org/10.1186/s13195-024-01440-9

[3] Palmqvist S, Whitson H E, Allen L A, et al. Alzheimer's Association Clinical Practice Guideline on the use of blood-based biomarkers in the diagnostic workup of suspected Alzheimer's disease within specialized care settings[J]. Alzheimers Dement,2025,21(7):e70535.http://dx.doi.org/10.1002/alz.70535

[4] Lantero-Rodriguez J, Montoliu-Gaya L, Ashton N J, et al. Biofluid-based staging of Alzheimer's disease[J]. Acta Neuropathol,2025,149(1):27.http://dx.doi.org/10.1007/s00401-025-02863-w



分享到:
客服电话
028-8948 2318
地址:成都市温江区成都医学城三医创新中心三期六栋